Billiard Ball Collision Problem . If the cue ball has any velocity in the $\vec{v}_{2b}$ direction after colliding, it's not a purely elastic collision. Most pool ball collisions are. Physics ninja looks at 2 dimension elastic collision between billiard balls of the same mass. The physics behind billiards (or the physics behind pool), in large part, involves collisions between billiard balls. The force of collision (the normal force of one. The yellow ball is initially at rest. The billiards table has no boundary. Figure 1 describes the geometry of a collision of a white and a yellow billiard ball. This is a demonstration of planar collisions of billiard balls. In this conservation of momentum two dimensions billiard ball perfectly elastic collision, we compute the final speeds and one of the directions for a collision between two. Pure elastic collisions don't often happen in real life. When two billiard balls collide the collision is nearly elastic. The balls have equal radii and equal.
from www.youtube.com
Figure 1 describes the geometry of a collision of a white and a yellow billiard ball. When two billiard balls collide the collision is nearly elastic. Pure elastic collisions don't often happen in real life. This is a demonstration of planar collisions of billiard balls. Physics ninja looks at 2 dimension elastic collision between billiard balls of the same mass. The physics behind billiards (or the physics behind pool), in large part, involves collisions between billiard balls. The billiards table has no boundary. The balls have equal radii and equal. The force of collision (the normal force of one. The yellow ball is initially at rest.
Inelastic Collision in Billiards (Momentum and Energy) YouTube
Billiard Ball Collision Problem In this conservation of momentum two dimensions billiard ball perfectly elastic collision, we compute the final speeds and one of the directions for a collision between two. Figure 1 describes the geometry of a collision of a white and a yellow billiard ball. The physics behind billiards (or the physics behind pool), in large part, involves collisions between billiard balls. The balls have equal radii and equal. Physics ninja looks at 2 dimension elastic collision between billiard balls of the same mass. In this conservation of momentum two dimensions billiard ball perfectly elastic collision, we compute the final speeds and one of the directions for a collision between two. This is a demonstration of planar collisions of billiard balls. When two billiard balls collide the collision is nearly elastic. The force of collision (the normal force of one. The yellow ball is initially at rest. The billiards table has no boundary. If the cue ball has any velocity in the $\vec{v}_{2b}$ direction after colliding, it's not a purely elastic collision. Most pool ball collisions are. Pure elastic collisions don't often happen in real life.
From www.slideserve.com
PPT Physics 207, Lecture 13, Oct. 18 PowerPoint Presentation, free Billiard Ball Collision Problem The balls have equal radii and equal. Figure 1 describes the geometry of a collision of a white and a yellow billiard ball. The force of collision (the normal force of one. Pure elastic collisions don't often happen in real life. This is a demonstration of planar collisions of billiard balls. Physics ninja looks at 2 dimension elastic collision between. Billiard Ball Collision Problem.
From www.chegg.com
Solved After collision 30° Before collision Two billiard Billiard Ball Collision Problem The yellow ball is initially at rest. Pure elastic collisions don't often happen in real life. Most pool ball collisions are. The balls have equal radii and equal. The billiards table has no boundary. Physics ninja looks at 2 dimension elastic collision between billiard balls of the same mass. If the cue ball has any velocity in the $\vec{v}_{2b}$ direction. Billiard Ball Collision Problem.
From www.numerade.com
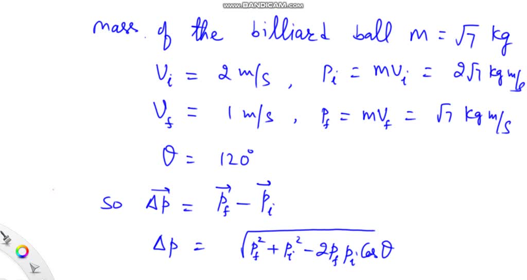
SOLVED 9. A billiard ball of mass 7 kg is moving in horizontal Billiard Ball Collision Problem Physics ninja looks at 2 dimension elastic collision between billiard balls of the same mass. The force of collision (the normal force of one. When two billiard balls collide the collision is nearly elastic. If the cue ball has any velocity in the $\vec{v}_{2b}$ direction after colliding, it's not a purely elastic collision. The billiards table has no boundary. In. Billiard Ball Collision Problem.
From www.chegg.com
Solved 1.) Consider a headon collision between two billiard Billiard Ball Collision Problem The billiards table has no boundary. If the cue ball has any velocity in the $\vec{v}_{2b}$ direction after colliding, it's not a purely elastic collision. Most pool ball collisions are. Figure 1 describes the geometry of a collision of a white and a yellow billiard ball. In this conservation of momentum two dimensions billiard ball perfectly elastic collision, we compute. Billiard Ball Collision Problem.
From www.youtube.com
PHY7B Rot. Force and Momentum Momentum Practice Problem Billiard Billiard Ball Collision Problem Pure elastic collisions don't often happen in real life. In this conservation of momentum two dimensions billiard ball perfectly elastic collision, we compute the final speeds and one of the directions for a collision between two. Most pool ball collisions are. This is a demonstration of planar collisions of billiard balls. The yellow ball is initially at rest. When two. Billiard Ball Collision Problem.
From www.youtube.com
Dynamics 1586 Two smooth billiard balls A and B each have a mass of Billiard Ball Collision Problem This is a demonstration of planar collisions of billiard balls. When two billiard balls collide the collision is nearly elastic. The force of collision (the normal force of one. Figure 1 describes the geometry of a collision of a white and a yellow billiard ball. Most pool ball collisions are. The yellow ball is initially at rest. The physics behind. Billiard Ball Collision Problem.
From ravnik.eu
Billiards ball collision ravnik.eu Billiard Ball Collision Problem The force of collision (the normal force of one. The billiards table has no boundary. The yellow ball is initially at rest. In this conservation of momentum two dimensions billiard ball perfectly elastic collision, we compute the final speeds and one of the directions for a collision between two. When two billiard balls collide the collision is nearly elastic. Pure. Billiard Ball Collision Problem.
From www.slideserve.com
PPT A State Transition Diagram for Simultaneous Collisions with Billiard Ball Collision Problem This is a demonstration of planar collisions of billiard balls. In this conservation of momentum two dimensions billiard ball perfectly elastic collision, we compute the final speeds and one of the directions for a collision between two. Pure elastic collisions don't often happen in real life. Most pool ball collisions are. The force of collision (the normal force of one.. Billiard Ball Collision Problem.
From www.chegg.com
Solved 2D Billiard ball collision Due this Friday, Mar 8 at Billiard Ball Collision Problem The force of collision (the normal force of one. The billiards table has no boundary. The balls have equal radii and equal. The physics behind billiards (or the physics behind pool), in large part, involves collisions between billiard balls. If the cue ball has any velocity in the $\vec{v}_{2b}$ direction after colliding, it's not a purely elastic collision. In this. Billiard Ball Collision Problem.
From zuoti.pro
Part C Linear Momentum Problem Cl (Elastic Collision) A billiard ball Billiard Ball Collision Problem Most pool ball collisions are. In this conservation of momentum two dimensions billiard ball perfectly elastic collision, we compute the final speeds and one of the directions for a collision between two. If the cue ball has any velocity in the $\vec{v}_{2b}$ direction after colliding, it's not a purely elastic collision. The force of collision (the normal force of one.. Billiard Ball Collision Problem.
From askfilo.com
Consider a collision between two Identic billiard balls with equal masses.. Billiard Ball Collision Problem This is a demonstration of planar collisions of billiard balls. The force of collision (the normal force of one. In this conservation of momentum two dimensions billiard ball perfectly elastic collision, we compute the final speeds and one of the directions for a collision between two. When two billiard balls collide the collision is nearly elastic. Most pool ball collisions. Billiard Ball Collision Problem.
From www.chegg.com
Solved Goal Solve an elastic collision in one dimension Billiard Ball Collision Problem In this conservation of momentum two dimensions billiard ball perfectly elastic collision, we compute the final speeds and one of the directions for a collision between two. Most pool ball collisions are. The balls have equal radii and equal. Figure 1 describes the geometry of a collision of a white and a yellow billiard ball. This is a demonstration of. Billiard Ball Collision Problem.
From www.alamy.com
Billiard Ball Collision High Resolution Stock Photography and Images Billiard Ball Collision Problem Physics ninja looks at 2 dimension elastic collision between billiard balls of the same mass. In this conservation of momentum two dimensions billiard ball perfectly elastic collision, we compute the final speeds and one of the directions for a collision between two. This is a demonstration of planar collisions of billiard balls. The physics behind billiards (or the physics behind. Billiard Ball Collision Problem.
From www.numerade.com
SOLVED (II) Two billiard balls of equal mass undergo a perfectly Billiard Ball Collision Problem When two billiard balls collide the collision is nearly elastic. Most pool ball collisions are. Figure 1 describes the geometry of a collision of a white and a yellow billiard ball. The billiards table has no boundary. This is a demonstration of planar collisions of billiard balls. If the cue ball has any velocity in the $\vec{v}_{2b}$ direction after colliding,. Billiard Ball Collision Problem.
From www.youtube.com
More Billiard Balls collision programming with SFML YouTube Billiard Ball Collision Problem The balls have equal radii and equal. This is a demonstration of planar collisions of billiard balls. The billiards table has no boundary. Pure elastic collisions don't often happen in real life. Most pool ball collisions are. When two billiard balls collide the collision is nearly elastic. The force of collision (the normal force of one. The yellow ball is. Billiard Ball Collision Problem.
From www.youtube.com
COLLISION Problem on Billiard Ball collision (NEET PHYSICS TAMIL Billiard Ball Collision Problem If the cue ball has any velocity in the $\vec{v}_{2b}$ direction after colliding, it's not a purely elastic collision. In this conservation of momentum two dimensions billiard ball perfectly elastic collision, we compute the final speeds and one of the directions for a collision between two. The balls have equal radii and equal. Most pool ball collisions are. When two. Billiard Ball Collision Problem.
From serc.carleton.edu
billiard ball collision screenshot Billiard Ball Collision Problem When two billiard balls collide the collision is nearly elastic. The billiards table has no boundary. If the cue ball has any velocity in the $\vec{v}_{2b}$ direction after colliding, it's not a purely elastic collision. Most pool ball collisions are. In this conservation of momentum two dimensions billiard ball perfectly elastic collision, we compute the final speeds and one of. Billiard Ball Collision Problem.
From www.youtube.com
Inelastic Collision in Billiards (Momentum and Energy) YouTube Billiard Ball Collision Problem Most pool ball collisions are. In this conservation of momentum two dimensions billiard ball perfectly elastic collision, we compute the final speeds and one of the directions for a collision between two. Pure elastic collisions don't often happen in real life. The balls have equal radii and equal. The yellow ball is initially at rest. The force of collision (the. Billiard Ball Collision Problem.